- Описание
- Характеристики
- Видео
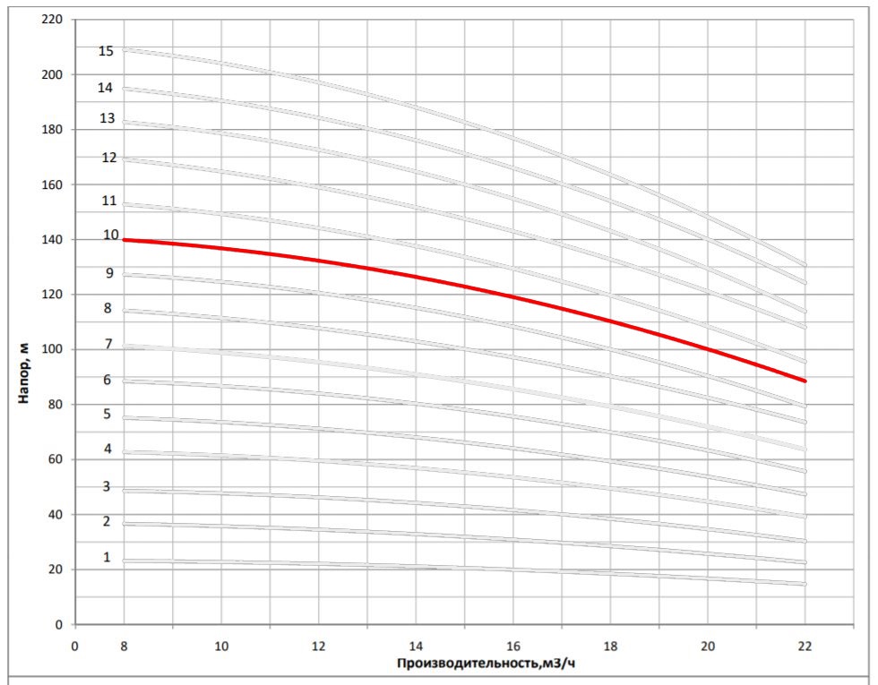
Рабочая характеристика насоса

| Q,(м³/ч) | 8 | 10 | 12 | 14 | 16 | 18 | 20 | 22 |
| Н, (м) | 140 | 137 | 132 | 127 | 119 | 110 | 100 | 88 |
КПД насоса

Кавитационный запас

Присоединительные и габариные размеры

| В1 | В2 | В1+В2 | D1 | D2 | L | L1 | L2 | b | h | Dy | d | d1 | d2 | n | k |
| 920 | 500 | 1420 | 330 | 255 | 300 | 199 | 130 | 90 | 55 | 50 | 80 | 125 | 165 | 4 | 18 |
Вес (кг)
159
Модель насоса
НВС
Расход, м³/ч
16
Напор, м
119
Тип всасывания
нормальновсасывающие
Вариант монтажа
стационарный
Установка
вертикальная
Тип привода
электрический
Тип рабочего колеса
лопастное
Номинальная мощность, кВт
11
Охлаждение
охлаждение вентилятором IP54
Взрывозащита
без взрывозащиты
Тип перекачиваемой среды
чистая вода
Способ установки
наружный







