- Описание
 - Характеристики
 - Видео
 
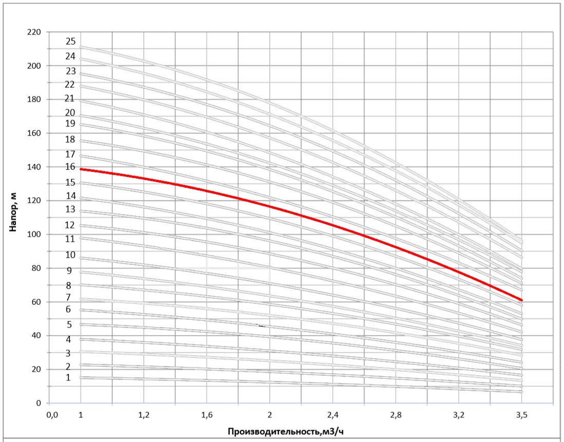
Рабочая характеристика насоса

| Q,(м³/ч) | 1 | 1,2 | 1,6 | 2,0 | 2,4 | 2,8 | 3,2 | 3,5 | 
| Н, (м) | 138 | 134 | 126 | 117 | 105 | 92 | 77 | 62 | 
КПД насоса

Кавитационный запас

Присоединительные и габаритные размеры

| В1 | В2 | В1+В2 | D1 | D2 | L | L1 | L2 | b | h | Dy | d | d1 | d2 | n | k | 
| 548 | 290 | 838 | 190 | 155 | 250 | 150 | 100 | 75 | 32 | 25 | 60 | 85 | 115 | 4 | 14 | 
									Вес (кг)
						
				
		41
			
									Модель насоса
						
				
		НВС
			
									Расход
						
				
		
            2
			
									Напор
						
				
		
            117
			
									Тип всасывания
						
				
		нормальновсасывающие
			
									Вариант монтажа
						
				
		стационарный
			
									Установка
						
				
		вертикальная
			
									Тип привода
						
				
		электрический
			
									Тип рабочего колеса
						
				
		лопастное
			
									Номинальная мощность, кВт
						
				
		2,2
			
									Охлаждение
						
				
		охлаждение вентилятором IP54
			
									Взрывозащита
						
				
		без взрывозащиты
			
									Тип перекачиваемой среды
						
				
		чистая вода
			
									Способ установки
						
				
				
	наружный
			






