- Описание
- Характеристики
- Видео
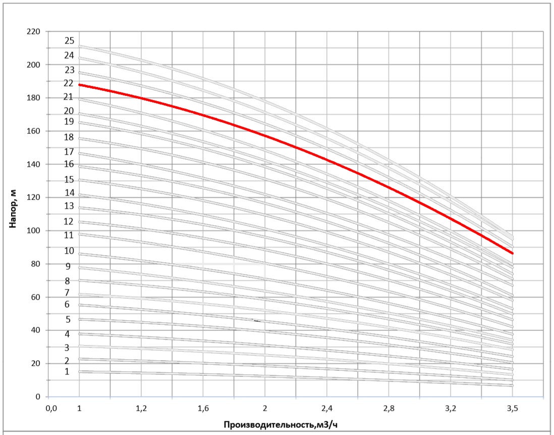
Рабочая характеристика насоса

| Q,(м³/ч) | 1 | 1,2 | 1,6 | 2,0 | 2,4 | 2,8 | 3,2 | 3,5 |
| Н, (м) | 186 | 181 | 171 | 158 | 142 | 125 | 105 | 88 |
КПД насоса

Кавитационный запас

Присоединительные и габаритные размеры

| В1 | В2 | В1+В2 | D1 | D2 | L | L1 | L2 | b | h | Dy | d | d1 | d2 | n | k |
| 656 | 315 | 971 | 197 | 165 | 250 | 150 | 100 | 75 | 32 | 25 | 60 | 85 | 115 | 4 | 14 |
Вес (кг)
52
Модель насоса
НВС
Расход, м³/ч
2
Напор, м
158
Тип всасывания
нормальновсасывающие
Вариант монтажа
стационарный
Установка
вертикальная
Тип привода
электрический
Тип рабочего колеса
лопастное
Номинальная мощность, кВт
3,0
Охлаждение
охлаждение вентилятором IP54
Взрывозащита
без взрывозащиты
Тип перекачиваемой среды
чистая вода
Способ установки
наружный







