- Описание
- Характеристики
- Видео
Насос НВС 8-16 предназначен для перекачивания чистой и слабо загрязнённой воды в системах перекачки нефтепродуктов. За счёт номинальной подачи 8 м³/ч и 16 секций он обеспечивает стабильный напор при компактных габаритах, что делает его удобным для фильтрации.
- Оптимален для энергетических объектов с расходом до 8 м³/ч.
- Комплектуется общепромышленным или взрывозащищённым электродвигателем.
- Подходит для длительного межремонтного периода.
| Номинальная подача | 8 м³/ч |
|---|---|
| Количество секций | 16 |
| Исполнение | НВС / НВСК (по запросу) |
| Тип электродвигателя | общепромышленный / взрывозащищённый |
| Перекачиваемая среда | вода, технически чистые жидкости |
Расшифровка обозначения насосов НВС
НВС — центробежный вертикальный многосекционный насос.
8 — номинальная подача насоса, м³/ч.
16 — количество секций.
Насосный агрегат оснащается общепромышленным или взрывозащищённым двигателем.
НВСК — вариант исполнения насоса из нержавеющей стали.
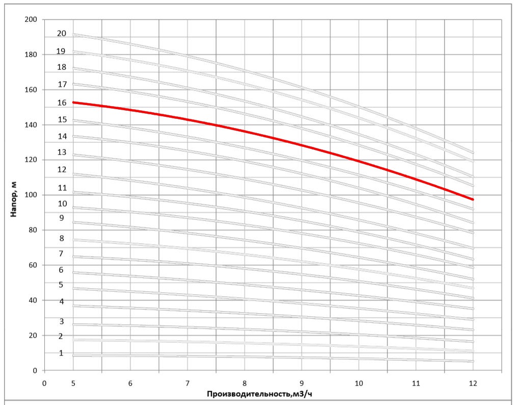
Рабочая характеристика насоса

| Q,(м³/ч) | 5 | 6 | 7 | 8 | 9 | 10 | 11 | 12 |
| Н, (м) | 153 | 148 | 144 | 136 | 128 | 120 | 109 | 98 |
КПД насоса

Кавитационный запас

Присоединительные и габаритные размеры

| В1 | В2 | В1+В2 | D1 | D2 | L | L1 | L2 | b | h | Dy | d | d1 | d2 | n | k |
| 807 | 390 | 1197 | 260 | 208 | 280 | 199 | 130 | 80 | 45 | 40 | 80 | 110 | 150 | 4 | 18 |







