- Описание
- Характеристики
- Видео
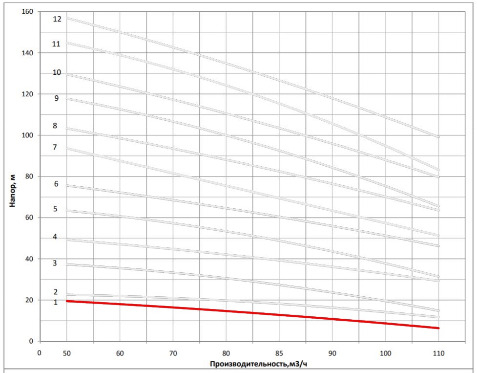
Рабочая характеристика насоса

| Q,(м³/ч) | 50 | 60 | 70 | 80 | 90 | 100 | 110 |
| Н, (м) | 20 | 17 | 16 | 14 | 18 | 9 | 6 |
КПД насоса

Кавитационный запас

Присоединительные и габариные размеры

| В1 | В2 | В1+В2 | D1 | D2 |
| 571 | 331 | 902 | 260 | 208 |
Вес (кг)
105
Модель насоса
НВС
Расход, м³/ч
85
Напор, м
13
Тип всасывания
нормальновсасывающие
Вариант монтажа
стационарный
Установка
вертикальная
Тип привода
электрический
Тип рабочего колеса
лопастное
Номинальная мощность, кВт
5,5
Охлаждение
охлаждение вентилятором IP54
Взрывозащита
без взрывозащиты
Тип перекачиваемой среды
чистая вода
Способ установки
наружный







